Skip to content
cswcdaklatan.upd@up.edu.ph
CSWCD Aklatan
Home
Announcements
About Us
Mission, Vision, Goals
Library Staff
Library Operation
Resources
Citizen’s Charter
Remote Access
Library Orientation
Library Brochure
Women and Gender Development Collection
Theses and Dissertations – MIRASOL
Abstracts
Video Tutorials
Services
Circulation and User Services
References and Information Services
Current Awareness Services
Computer and Printing Services
Ask CLARA
Library Orientation
Resource on Demand
Facilities
Reader’s Area
Information Desk
Gender and Development Corner
Al-Fresco Reading Area
Cybernook
Discussion Rooms
DSD Reading Room
Recreational Lounge
FAQs
Request Forms
Book Chapter Request
Article Request
Discussion Room Reservation
Repository
CSWCD Institutional Repository
About the Institutional Repository
Institutional Repository Policy
Field Instruction Program Masterlist
Home
Announcements
About Us
Mission, Vision, Goals
Library Staff
Library Operation
Resources
Citizen’s Charter
Remote Access
Library Orientation
Library Brochure
Women and Gender Development Collection
Theses and Dissertations – MIRASOL
Abstracts
Video Tutorials
Services
Circulation and User Services
References and Information Services
Current Awareness Services
Computer and Printing Services
Ask CLARA
Library Orientation
Resource on Demand
Facilities
Reader’s Area
Information Desk
Gender and Development Corner
Al-Fresco Reading Area
Cybernook
Discussion Rooms
DSD Reading Room
Recreational Lounge
FAQs
Request Forms
Book Chapter Request
Article Request
Discussion Room Reservation
Repository
CSWCD Institutional Repository
About the Institutional Repository
Institutional Repository Policy
Field Instruction Program Masterlist
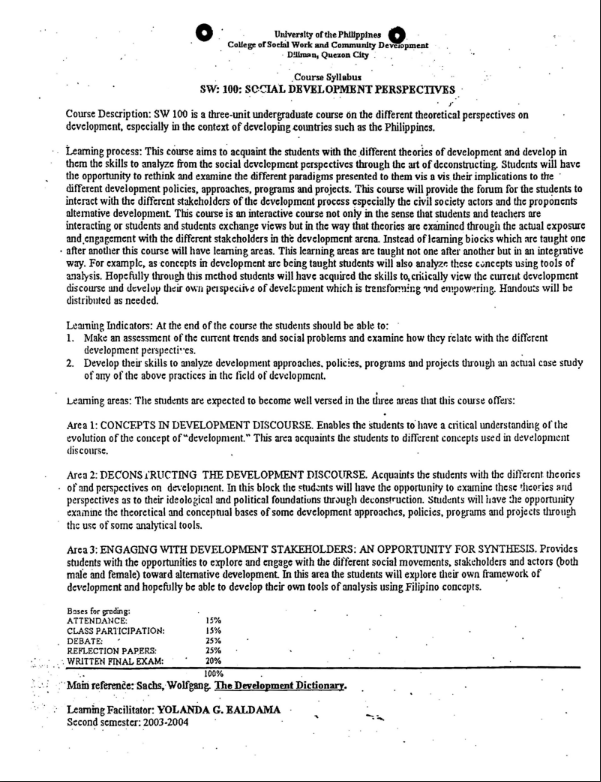
SW 100 Ealdama, Yolanda G. AY 2003-2004 2nd Sem
Author:
Ealdama, Yolanda G.
Category:
Course Syllabus
Accession Number:
SB048
Pages:
1
Language:
English
Box Number:
e-copy
More Details
Description:
This is a course syllabus of the subject SW 100 for the second semester academic year 2003-2004.
Back to Catalog
Search for:
Archives
Meta
Log in
Entries feed
Comments feed
WordPress.org